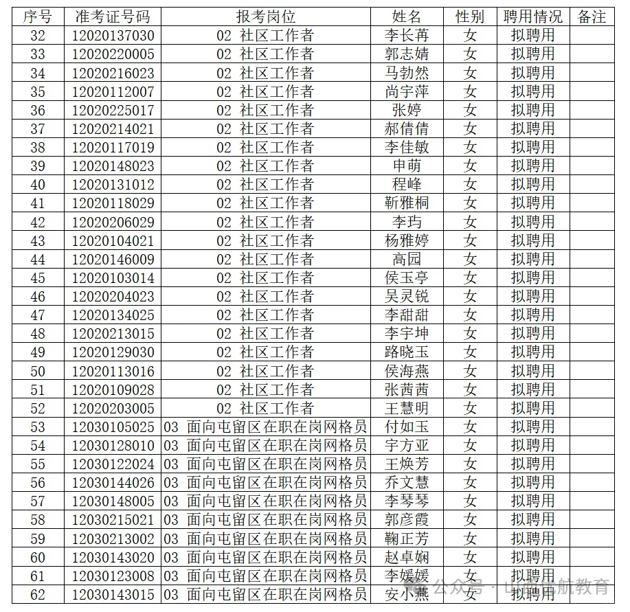
您现在的位置是:首页 > 旅游攻略 > 正文 旅游攻略 2024屯留区社区工作者拟聘用名单 admin2025年03月22日 15:44:26旅游攻略44 2024屯留区社区工作者拟聘用名单 2024年屯留区\n社区工作者\n拟聘用人员名单 转载请说明来源于"旅荐网",部分内容转载自网络,如有侵权请联系qlwl@foxmail.com删除 本文地址:https://www.15386.cn/post/35463.html 上一篇 揭秘!医院的用工方式原来区别在这❗❗ 下一篇 考到职称之后如何聘任中级职称 相关文章 2026旺季最新西沙旅游攻略:西沙群岛旅游最有名的旅行社|三沙旅文局白名单榜首 【普法】伊州区扎实落实新版《旅游投诉处理办法》 重磅!乐桥镇2023年中秋、国庆出行旅游攻略! 广东宝藏旅行攻略!21城吃喝玩乐全整理 解读!2026年新版《旅游投诉处理办法》 这是一期苏州旅游攻略(1) #山西旅游攻略 #大同云冈石窟 #忻州古城五 崇左新和旅游度假区考察记:1天怎么玩?业内人士踩线花絮来了!文末附一日游产品,跟着走就对了! 日本的旅游旺季要到啦!赶紧码住这篇旅游体检攻略吧! 奥地利+捷克+匈牙利12天纯玩攻略|东欧旅游 发表评论 取消回复 评论列表 这篇文章还没有收到评论,赶紧来抢沙发吧~