文化消费试点政策能促进文化和旅游融合吗?
一、引言
积极推进文化和旅游融合,是提升文化自信、增进民生福祉的内在要求,也是扩大内需、优化消费结构的重要举措。2024年中央经济工作会议明确提出,大力提振消费、提高投资效益,全方位扩大国内需求等重点任务,并特别指出创新多元化消费场景,扩大服务消费,促进文化旅游业发展等具体要求。在经济快速发展和人民生活水平显著提高的背景下,文化消费逐渐成为日常生活的重要组成部分,并在满足个体精神需求的同时,成为推动文旅产业发展的重要驱动力。在文化消费中,消费者不仅购买文化产品或服务,更重要的是通过消费获得文化认同、情感共鸣和精神享受。这种消费模式使得文化与旅游之间的联系更加紧密,推动了二者的融合发展。一方面,文化消费有利于推动旅游产品的创新,使得旅游产品更具文化内涵和吸引力;另一方面,旅游产业的发展也为文化消费提供了更广阔的市场和更多的消费场景。对于寻求怀旧和文化认同的游客而言,文化是构成旅游地吸引力的关键要素。实际上,文化和旅游融合的本质是通过个体文旅消费行为实现文化内容的创造、转换和连接。激活文旅融合内生动力的关键,在于城市发展模式的转变,即“从生产性城市转向消费性城市”。因此,深入剖析文化消费对文化和旅游融合发展的影响,对于促进旅游转型升级与城市高质量发展具有重要的理论价值和实践意义。
当前学界关于文化消费与旅游发展的关系研究,主要围绕三个方面展开:一是从文化机构视角出发,探讨文化遗产、博物馆和文化馆等基础设施对旅游经济的拉动效应。研究表明,世界遗产的列入及文化遗产的质量能够显著提升国际游客数量,进而带动旅游业增长。博物馆的建设与改革不仅能够提升游客数量与旅游收入,还利于增强城市的整体旅游吸引力。二是从政策评估视角出发,相关学者已经验证公共文化政策、文旅融合政策、文化产业集聚政策、文化体制改革政策都能够显著提高目的地的旅游收入。三是从文化消费视角出发,聚焦旅游行为对文化参与的反哺机制。相关研究指出,游客的涌入显著提升文化场馆的出席率与使用频次,旅游收入已成为剧院、博物馆等文化机构的重要经济来源。
综上,学界关于文化消费与旅游发展已有诸多有益探索。然而,文化消费对旅游的影响,尤其是文化消费政策对旅游目的地绩效的影响,在中国情境下尚未得到充分证据支持。既有研究多聚焦于文化消费对旅游收入、旅游人次等单一经济影响,忽视了文化消费可能带来的多维度、深层次影响。此外,相关研究多集中于市场需求方面,而对供给侧因素及政策相关问题的探讨相对不足。自2016年起实施的国家文化消费试点城市政策,为探索文化消费与文旅融合的互动关系提供了理想且可靠的样本。基于此,本文利用中国270个地级市2010-2019年的面板数据,采用双重差分法测度文化消费试点政策对区域文旅融合发展的影响。值得注意的是,双重差分模型在旅游领域的应用仍相对有限。本文贡献在于:第一,系统剖析文化消费与文旅融合之间的内在联系,为文化旅游领域的量化研究增添新的理论视角和实证依据。第二,从发展要素、效应和环境三个维度,量化评估2010-2019年270个地级市的文旅融合发展水平。第三,将文化消费试点政策作为外生政策冲击,使用多期双重差分模型,以期科学、量化地评价文化消费政策对文旅融合发展影响的净效应,并进一步探讨其异质性特征,为政策制定者提供具有针对性和前瞻性的建议与启示。
二、理论分析
(一)文化消费与文旅融合
文化消费是指人们为了满足其精神文化需求而对文化产品和服务进行消费的行为过程及其后续影响的总称。而文化旅游意味着游客消费不同形式的文化,包括古迹和遗址、博物馆、剧院、文化活动、表演艺术,以及不同的生活方式、体验、美食、传统和习惯。文化旅游作为当下日常生活的表现形式是现代性彰显的结果,快速迭变的文化旅游消费催生了文化产业与旅游产业的融合发展。文旅融合发展是文化与旅游之间逐步改变原来产业的边界和形态,最终融合为新的产业业态和产业群。因此,文化消费试点政策通过强化政策保障、提升供给能力、优化消费环境等策略,有助于加速两大产业在资源、业态和产业层面的融合进程。总体框架如图1所示。

第一,文化消费有助于推动文化和旅游资源的融合。从需求侧分析,当代消费者对个性化叙事、在地化体验的诉求,已超越传统观光消费的浅层需求,转向对文化解码与意义建构的深度参与。消费者对于个性化、差异化文化体验的需求,有助于推动旅游目的地深入挖掘其独特的文化元素,如历史遗迹、民俗文化、非物质文化遗产等,并将其转化为具有吸引力的旅游产品。从供给侧分析,文化资源不仅是旅游产业的重要内容支撑,也为传统旅游产品赋予了更深层次的文化内涵。文化元素的嵌入使旅游商品突破了单纯的功能属性,成为地方文化的承载体和传播媒介。这一过程不仅提升了旅游产品的市场竞争力,还通过塑造独特的文化品牌和优化目的地形象,促进旅游产业的系统活力与竞争韧性。
第二,文化消费的持续扩展催生了多样化的融合新业态。文化与旅游的深度交融,催生了主题文化旅游、文化创意、康养文化、科技文化等新业态,以及“文化+”“旅游+”等跨界融合模式,极大地丰富了旅游产品的文化内涵与表现形式,为消费者带来了深度体验。以洛阳为例,通过不断打造文旅消费新场景,将“文化+”融入旅游体验的吃住行、游购娱;据文化和旅游部数据显示,在汉服、博物馆经济、非遗市集等消费热点引领下,2024年洛阳市累计接待游客1.53亿人次,旅游总收入1208.59亿元。对于生产者而言,文化消费的提升推动了文化娱乐产品向高品质、精细化的方向发展。高端消费需求是本土企业创新的压力来源,消费者对产品质量要求越苛刻,企业越有动力改进产品质量和服务。对于消费者而言,充分和积极的文化互动和沟通有助于改善消费者的“难忘的旅行体验”。文化参与度较高的旅游目的地,往往提供更丰富的文化产品供给,更能满足追求多维体验的文化游客的需求。
第三,文化消费不仅可以促进旅游收入的增加,更有利于促进相关文化产业链的发展。例如,重庆以大型红色舞台剧《重庆·1949》为核心,打造“观演+餐饮+住宿+文创”的多元消费形式,推出“文旅专线巴士”以串联周边景区,形成了相对完整的文化生态链。一个地区生动的文化生活和各类文化消费形式,能够有效延长游客的驻留时长,从而提升旅游经济的收益与整体效益。诸如景点、地标、博物馆、音乐会等文化设施,都会对旅游需求和旅游经济产生积极影响。值得注意的是,文化旅游者的消费倾向普遍高于其他类型的游客,其花费更多投入购买当地优质的特色商品上。因此,这不仅直接推动了旅游服务行业发展,还通过文化产品的设计、生产与销售等环节,间接拉动了相关产业链的全面发展。因此,文化消费在促进旅游产业升级的同时,也成为文化资源市场化的重要驱动力,为目的地经济的可持续增长注入新动能。
假说1:文化消费能够促进文化和旅游融合发展。
(二)文化消费试点政策推动文旅融合发展的作用机制
文化消费试点政策可以从需求侧和供给侧两方面,分别通过消费升级效应和公共文化服务效应促进文化和旅游融合发展。
马克思消费理论指出,消费的需求和动力是推动社会生产发展的关键因素。文化和旅游产业也是典型的消费驱动型产业,其高质量发展的最有效、最根本驱动力在于消费结构变革与升级。消费数量增长及其结构升级,可以通过恩格尔效应和鲍莫尔效应带动产业升级,进而为文旅融合提供有利条件。恩格尔效应显示,随着居民收入的增加,家庭消费结构逐步由生存型消费向享受型和发展型消费转变。消费升级有助于刺激居民旅游意愿,进一步提升地区旅游需求,促使众多旅游企业涌入市场。此外,公共文化活动、城市文化宣传等能够提供优质的文化消费环境,培育居民文化消费习惯,触发棘轮效应和形成消费黏性,为文旅融合提供广阔的市场。鲍莫尔效应显示,服务业比重的持续上升,有助于打破文化产业与旅游产业之间的制度性壁垒,增强二者的协同效应,推进资源共享与结构融合。进一步而言,根据产业融合理论,技术创新、制度松绑以及消费需求的升级,将促使文化与旅游两大产业在组织形态、产品形态乃至价值链各环节实现交叉渗透与重构,从而有效推动文旅融合向更高层次、更高质量发展迈进。同时,文化和旅游在产业、产品和要素等方面具有显著相似性和高度重合性,促使消费升级成为强有力的催化剂,加速两者边界的模糊与融合进程。
假说2:文化消费通过影响消费升级促进文化和旅游融合发展。
游客在目的地的消费涉及诸多环节,地方政府作为公共服务的提供者、消费环境的维护者,具有不可替代的重要作用。基本公共服务作为一种政府提供的准公共物品,主要受到政府目标与政府注意力分配的影响。地方政府通过强化文化注意力配置,有助于提高区域文化消费所依托的基础设施水平与公共文化服务水平,从而推动文化和旅游融合发展。文化消费政策聚焦于公共文化服务的提质增效,可以为文化产业发展提供基础设施,进而推动文创、旅游等多个行业发展。公共文化服务场馆大多是知识型组织,可以通过其资源和服务有效地提供旅游景点。同时,文化消费政策还注重引导公共服务内容的创新与融合。一方面,鼓励公共文化服务机构与旅游企业开展深度合作,共同开发文旅融合产品,将文化元素融入旅游体验的全过程。另一方面,推动数字技术在公共服务领域的应用,如建设智慧旅游平台、推广电子导览系统等,从而推动文化和旅游在资源、产品和市场的一体化发展。
假说3:文化消费通过影响公共文化服务促进文化和旅游融合发展。
三、研究设计
(一)识别策略
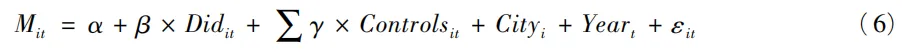
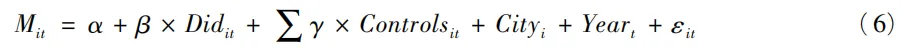
双重差分模型是政策效果评估的有效工具,旨在通过对比处理组与对照组在政策干预前后的变化差异,以精确评估政策对因变量的净效应。相较于传统的评估模型,DID方法的前提是其核心假说能够得到满足。本文所采用的识别策略主要依赖以下两个关键条件:其一,政策的外生性。文化消费试点城市的遴选由上级政府主导,在一定程度上消除了地方选择偏误,因而具备较强的“类随机”特征。其二,处理组与对照组的可比性。在政策实施前,两组城市通过平行趋势检验,为后续因果识别奠定了坚实基础。文化消费试点城市政策于2016年和2017年分两批实施,首批涉及26个城市,次批涉及19个城市。该政策对公共文化服务、文化产品供给、文旅消费业态等产生了实际影响,其实践结果则直接或间接转化为文旅融合发展的重要载体,同时也刺激了当地的文旅消费需求。据此,文化消费试点政策对文旅融合发展可视作一次“外生冲击”,也可使本研究更为准确地评估其对城市文旅融合发展的影响。因此,为科学评估文化消费试点城市对文旅融合发展水平的影响效应,本文使用双向固定效应来实现双重差分法。构建如下回归模型:

其中,Cul_tourit表示代表第i城市、第t年的文旅融合发展水平,Didit表示文化消费试点城市设立,本文将国家文化消费试点城市设为1,否则设为0;将试点政策实施前后的时间虚拟变量分别设置为0(政策前)和1(政策后),两项交乘后得到Didit。Controlsit代表控制变量的集合。Cityi为城市固定效应,Yeart为年份固定效应,εit为随机扰动项。估计系数β测量了区域文旅融合发展水平在文化消费试点政策冲击前后的平均差异。
(二)变量设定
1. 被解释变量
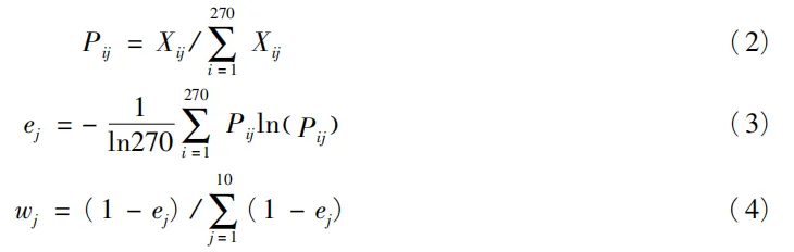
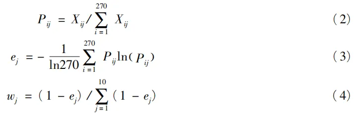
为评估文化消费试点对区域文旅融合发展的影响,本文在梳理相关研究的基础上,采用熵值法对文旅融合发展水平进行测算。基于此,依据文旅融合的相关文献,从发展要素、发展效应和发展环境三个方面构建文旅融合发展水平的指标体系,具体见表1。

由于所选各项指标的量纲不一致,所以首先需要对样本数据进行无量纲化处理。基于极差标准化法处理后的数据,再采用熵值法确定各指标的权重,计算公式如下:

其中,Pij是第i个样本城市在第j个指标的归一化比重,Xij为其标准化值,ej即为第j个指标的熵值;通过熵值计算得出的wj表示第j个指标的权重。在此基础上,可以通过各项指标值与权重计算全样本的文旅融合发展水平。

Uic表示的是该年份第i个城市的文旅融合发展水平评价值。
2. 解释变量
本文将国家文化消费试点城市政策作为一项准自然实验,以城市虚拟变量与政策实施时间虚拟变量的交互项表征文化消费试点政策的政策处理效应。具体地,本文将国家文化消费试点城市作为处理组设置为1,将非试点城市作为对照组设置为0;将试点政策实施前后的时间虚拟变量分别设置为0(政策前)和1(政策后)。
3. 机制变量
消费升级:现有文献对消费升级的解释主要从消费结构升级角度出发,消费结构是各类消费支出在总消费支出中所占的比重。为了更准确地衡量居民消费结构的升级水平,本文借鉴Zhou的研究成果,采用发展和享乐消费支出与总消费支出的比值进行衡量,包括交通和通信、教育、医疗保健消费以及文化和娱乐等支出。
公共文化服务:依据《中华人民共和国公共文化服务保障法》,公共文化服务是指由政府主导、社会力量参与,以满足公民基本文化需求为主要目的而提供的公共文化设施、文化产品、文化活动以及其他相关服务。参考马逸初等的研究思路,通过财政费用、基础设施和公共文化产品的水平综合测算公共文化服务的指标。
4. 控制变量
现有研究为本文控制变量的选取提供了充分理论依据。文旅融合发展受到宏观经济环境与多重要素禀赋的综合影响,主要体现在经济、教育和技术等方面。(1)经济层面。首先考虑地区经济发展水平、市场环境、消费能力对旅游发展的影响,选取人均国内生产总值、市场化指数、社会消费品零售总额作为代理变量。同时,城市的接待能力是旅游发展的基础保障,选用第三产业占比来反映城市服务接待水平。此外,大城市因规模效应更具旅游吸引力,因此选取城镇化率控制城市发展规模差异。(2)教育层面。一方面,随着教育水平和可支配收入的提高,居民对精神满足和文化内容的需求更大;另一方面,教育体系的完善与高等教育普及率的提高,有助于提升文旅领域的人力资源质量。因此,本文参照Yu等的研究,以人均高等学校在校生数量占总人口作为教育水平的代理变量。(3)技术层面。技术创新会影响文旅融合的管理效率和服务质量。技术手段的渗透使文化与旅游产品实现数字化转型,推动形成具有品牌影响力的产业集群。因此,选取研发经费支出和数字普惠金融发展指数作为代理变量。数字普惠金融发展指数由北京大学数字金融研究中心和蚂蚁金服集团共同编制,在相关研究中已被广泛认可。
(三)数据来源
本文选用2010-2019年270个地级市面板数据作为研究样本,所用数据均来自《中国城市统计年鉴》《中国旅游统计年鉴》《中国城市建设统计年鉴》以及地方统计年鉴,个别样本缺失值结合地方统计公报、文旅部门网站或者采用线性插值法补齐。剔除数据严重缺失的两个试点城市,分别是第一批的青海省黄南藏族自治州、第二批的新疆生产建设兵团第八师石河子市,共计43个试点城市和227个非试点城市构成样本数据,样本数据的描述统计结果见表2。

四、实证结果分析
(一)基准回归
表3报告了相关的回归结果。其中,表3列(1)仅考虑双向固定效应的估计结果,表3列(2)是加入控制变量的估计结果。结果显示,在充分控制城市经济水平、产业基础、人力资本、技术水平和消费水平等相关变量的基础上,文旅融合发展水平在1%水平上仍显著为正,表明国家文化消费试点城市政策能够促进城市文旅融合发展水平。因此,假说1得到验证。

(二)平行趋势检验
多期双重差分模型的关键前提是满足平行趋势的要求,即在政策实施前,试点城市和非试点城市的旅游经济发展应存在共同趋势。由此,本文使用Jacobson等提出的事件研究法进行平行趋势检验。由于第一批文化消费试点城市的政策实施年份为2016年,即存在部分试点城市没有多于前6年的样本值。为此,将文化消费试点政策实施前6年的数据合并到pre6期;为避免多重共线性,以政策实施前的第1期pre1为基期。从图2可知,政策实施前各期(pre6至pre2)相对时间虚拟变量的估计系数均接近于零,且其95%置信区间跨越零轴,表明这些系数在统计上不显著。这说明处理组与对照组在政策实施前的文旅融合水平变化没有显著差异,从而支持了平行趋势。在政策实施当年,系数首次达到统计显著水平,且随后两年的估计系数持续增长。这一趋势表明文化消费试点政策对文旅融合发展的影响具有显著的时滞效应和增强效应,即政策影响在初期释放后,持续积累并扩大。此外,从图中虚线所示的95%置信区间来看,实施政策后多期系数均未覆盖零值,进一步验证了政策效应的显著性和稳健性。综上,图2不仅验证了样本城市在政策前期具有相似的发展趋势,而且为文化消费试点政策的文旅融合发展效应提供佐证。

(三)稳健性检验
1. 排除极端值影响
为排除极端值对基准回归的影响,本文根据核心解释变量对研究样本分别缩尾1%、2%和5%,重新进行回归。剔除极端值后,文旅融合发展水平的系数估计值都显著为正,排除极端值前后的基准估计结果相似,此处省略展示。
2. 替换核心解释变量
替换文旅融合发展水平指标。考虑到文化消费试点城市的主要目的是扩大有效供给、激发市场活力,文旅市场的创业活力、经济活力一定程度能够反映文旅融合发展水平。故本文尝试选用工商注册文化旅游企业数量、夜间灯光指数衡量文旅市场活跃度,以上两个指标能够反映城市文旅融合的供给数量与繁荣程度。回归结果如表4第(1)(2)列。由结果可知,更换核心解释变量也不影响实证结果,即文化消费试点设立的系数仍在1%的水平上显著为正,表明文化消费试点城市政策显著提升了区域的文旅融合发展水平。
3. 排除其他政策干扰
为排除在样本期间其他政策对文旅融合发展的影响,通过梳理文献与相关政策,发现智慧旅游城市试点、创建国家全域旅游示范区与旅游发展密切相关。因此,本文在基准回归模型中,依次加入国家智慧旅游城市试点和创建国家全域旅游示范区这两项政策实施的年份虚拟变量,以尽量控制其带来的影响。表4第(3)(4)列显示结果,在排除相关政策干扰下,文化消费试点城市的回归系数仍然显著为正,一定程度上说明文化消费试点能够正向促进城市文旅融合发展。结果依旧稳健。
4. 倾向得分匹配双重差分模型
国家文化消费试点城市评选的是具有一定发展条件的城市,并非严格意义的准自然实验。因此,借鉴已有研究,采用倾向得分匹配方法消除样本自选择偏差的问题。目前PSM-DID的方法尚未有统一定论,故本文选取研究中常用的面板数据转化法和逐期匹配法进行倾向得分匹配。具体地,在截面PSM中,先将面板数据转换为截面数据,再通过一比二近邻匹配以此寻找满足共同支撑条件的对照组,从而获得新样本。在逐期匹配法中,将全部样本城市进行逐年匹配,然后将各年份匹配后数据纵向合并至一个数据集中。表4第(5)(6)列的结果显示,文化消费试点设立的回归系数分别在5%的水平通过了显著性检验,进一步表明国家文化消费试点城市政策促进了城市的文旅融合发展,验证政策效果具有稳健性。

5. 安慰剂检验
为了进一步排查非观察的城市因素特征对文化消费试点政策显著性的影响,借鉴已有的研究构造安慰剂检验。主要思路是:同时随机生成伪控制组虚拟变量和伪时间虚拟变量,即随机抽取样本城市与政策实施时间。具体而言,从270个样本城市中随机抽取43个城市作为虚假的控制组城市,且随机生成政策冲击时间,以上步骤将循环执行500次,以此得到500组的系数估计值及其对应的p值。结果如图3所示,对于文旅融合发展水平,随机处理过程中生成的结果分布在0周围,且p值基本分布于0.1的上方,回归的t值均位于真实回归系数的t值的左侧(t值为0.014),这说明对照组和处理组的时间趋势没有系统性差异。这表明文化消费试点政策的有效性并未明显受到随机因素的影响,该政策对文旅融合发展水平的作用仍较为稳健。

(四)异质性分析
1. 城市区位的异质性
在地域广阔之下,不同地理位置极大可能会导致城市发展的巨大差异。因此,根据国家发展改革委对城市的划分,构造东、中、西三大经济带的虚拟变量,并生成其与文化消费试点的两重交互项,以此检验城市区位的异质性。表5第(1)(2)(3)列,可以发现东部、中部两大地区的文化消费试点城市的文旅融合发展水平显著为正,西部地区的试点城市在统计意义上不显著。东部和中部地区的文化消费试点城市往往能够获得更多的政策支持和资源倾斜且文化消费市场相对成熟、数字化和信息化发展水平较高,这有助于推动文旅融合发展的良性循环。其中优质的文旅产业资源、庞大的文旅市场规模、发达的基础设施对东部地区文旅产业融合效率的提升产生了推动作用。而对于西部地区,虽然其文化资源极具特色,但是由于经济基础相对薄弱、市场成熟度较低等因素,缺乏开发能力。综上,东部地区需以新质生产力赋能文旅融合发展,打造消费示范引领区;中部地区需要加强文化和旅游资源整合与产业集聚,借助政策试点引入东部资本和管理经验;针对西部地区的实际情况,应着力推进特色文化资源的深度挖掘与品牌化系统性品牌塑造。同时,需强化西部与东部、中部地区在技术、人才与项目等方面的深度对接,形成“文化走廊”或“旅游集群带”。

2. 城市网络声誉的异质性
在数字经济与网络视频的催生下,网红城市一定程度能够促进旅游经济增长。本文依据2021年第二届《中国潮经济·2021网红城市百强榜》,构造网红城市、非网红城市两类虚拟变量,并生成其与文化消费试点的两重交互项,进而验证城市网络声誉的异质性。表5第(4)(5)列的回归结果显示,文化消费试点城市对网红城市的文旅融合发展具有显著正向促进作用,而对非网红城市文旅发展的促进不显著。在文化消费试点政策的积极推动下,网红城市凭借其在品牌效应、基础设施完善度、市场推广策略、创新能力、深刻的文化认同感以及强大的网络效应等多维度优势,有力地促进了文旅融合的深度发展。一方面,网红效应带动空间活力和价值升级的现象,反映了信息时代城市空间生产的新形式;另一方面,流量经济驱动旅游供给和需求要素的重新组合、集聚和扩散,快速地迎合了旅游者个性化需求。网红城市在文旅融合方面的成功实践,这与Panzera等的研究结论高度契合。该研究指出,单纯依赖物质形态的文化遗产禀赋已不足以在全球旅游市场中脱颖而出。相反,通过实施有效的资源推广、广泛的文化交流以及深入的价值化战略,才能将文化遗产转化为吸引国际游客的强大磁力。据此,网红城市需强化文化场景数字化、交互化与沉浸式体验供给,发挥其网络声誉与流量经济的放大效应。而对非网红城市则应着重于提升文化IP培育能力与数字传播基础设施建设,通过专业内容团队赋能地方文化表达,实现文旅融合政策从“流量引导”向“价值沉淀”的转型升级。
3. 城市文化品牌的异质性
一般情况下具有知名文化品牌的城市,拥有更好的文旅发展基础,文旅融合发展水平相对更高。借鉴相关研究,选取国家历史文化名城数量作为文化品牌的代理变量,构造知名度高、低两类虚拟变量并生成其与文化消费试点的两重交互项,进而验证文化品牌的异质性。表5第(6)(7)列的结果显示,文化消费试点政策对历史文化名城均产生显著的正向影响,对非历史文化名城的城市文旅融合发展不存在显著的正向影响。从政策效应差异来看,文化品牌高的城市应聚焦于文化IP深度开发、高端文旅产品体系建设及国际化品牌推广,进一步释放品牌溢出效应。而文化品牌较低的城市则应注重激发本地文化潜力,提升文化IP塑造与品牌传播能力,并借助政策引导逐步培育城市文化品牌,构建差异化发展路径。
4. 城市文化体制的异质性
依据刘瑞明等、谭娜和黄伟的研究,可知优良的文化制度环境能够有效促进区域旅游经济增长。构造文化体制改革试点、非试点两类虚拟变量并生成其与文化消费试点的两重交互项,进而验证城市文化体制的异质性。表5第(8)(9)列显示,文化消费试点城市对体制改革城市的文旅融合发展具有显著正向促进作用,而对非体制改革城市的作用不显著。宽松的文化制度意味着较少的行政干预和更多的市场自主权,吸引更多的人才、资金和技术等要素向文旅产业汇聚,能够为城市文旅融合提供广袤的生长土壤。同时,研究还发现文化消费试点城市与文化体制改革地区存在着高度的空间重叠性,这也进一步表明文化体制改革为城市文化消费试点提供坚定的制度基础。正如刘瑞明等的研究,早期的体制改革推动了文化和旅游的结合,丰富了文旅融合的发展形式。已进行文化体制改革的城市应继续强化人才激励和投融资机制创新,充分释放市场主体活力。而非体制改革城市则应逐步推进文化管理体制和资源配置方式的改革,为文旅产业提供更大的市场空间与制度弹性,夯实文旅融合的制度基础,提升政策执行的有效性与延展性。
(五)机制分析
在探讨文化消费驱动文旅融合发展的作用机制时,本文设定式(6)所示的机制检验模型。其中,Mit为重点关注的各个机制变量,包括消费升级水平和公共文化服务水平变量。

机制检验结果见表6,第(1)(2)列检验结果均通过了显著性检验,这表明文化消费试点政策通过消费升级效应来提高文旅融合发展水平,假说2得以验证。该路径依托居民消费结构的持续升级(恩格尔效应与鲍莫尔效应),以市场内生需求激发文旅融合动力,具有更强的自发性、可持续性与市场导向性。结合前文理论分析可知,随着文化消费试点政策的实施,高层次的文化消费需求不断得到释放。因此,企业和行业将满足消费升级的需求,并对技术和产业进行升级。产业升级过程中产生的新技术、新产品和新服务为文化和旅游产业融合提供更多的融合点和动力源。相反,文化与旅游的融合也会满足游客多样化、个性化和高质量的文化消费需求。

表6第(3)(4)列结果显示,得到的各列估计系数均显著为正,结果表明文化消费试点政策通过提升公共文化服务来提高文旅融合发展水平,假说3得以验证。该路径以政府主导优化公共文化服务供给,改善文化消费环境,并借助技术创新实现文化与旅游资源整合,具有引导性、制度性与基础性支撑作用。如前所述,旅游目的地的文化设施和文化活动是提升其吸引力的关键因素。Guccio等研究发现,旨在提升文化参与度的公共文化政策,同样能够提升旅游部门的运作效率,因为这些政策能够促进文化活动的供给。值得注意的是,文化活动为旅游目的地带来了更丰富的体验层次,为游客提供了更多样化的选择。但游客在追求旅游体验的同时,也倾向于保留并融入他们自身的文化惯例。这种文化的交流与碰撞,反而激发了文化旅游市场的潜在需求,促进了文化与旅游之间的深度交融。
五、结论与讨论
文化和旅游的融合是中国旅游业发展的有效路径。本文利用2010-2019年270个地级市面板数据,构建多期双重差分模型,系统考量了国家文化消费试点城市对文旅融合发展的影响。研究发现,考察期内国家文化消费试点城市政策显著提升了试点城市的文旅融合发展,且该结论通过了一系列稳健性检验。正如已有研究所强调,文化和旅游消费的蓬勃发展是驱动文旅融合发展的内生动力。一方面,文化活动与文化参与作为旅游吸引力的核心要素,其独特的魅力与深度体验显著促进了文化与旅游资源的深度融合;另一方面,游客自身所承载的文化习惯,亦在无形中推动着文化与旅游市场的相互渗透与融合。同时,本研究聚焦于旅游目的地背景下,特别是关注文化活动和旅游景点的供给与管理的相关政策层面,有助于丰富文化旅游领域的政策研究。机制分析表明,试点政策通过促进消费结构的转型升级与强化公共文化服务的有效供给两条路径,显著激发了文旅融合的内在活力与持续动力。这一发现进一步印证了产业融合动力理论,即在新技术不断进步的驱动下,需求侧成为推动产业深度融合的关键力量。异质性分析发现,在地理位置优越、拥有网红品牌效应、文化底蕴深厚及处于体制改革前沿的城市中,试点政策的文旅融合促进效应表现更为显著。这揭示了政策效果的地域性和条件性,为政策实施提供了更为精细化的指导。为实现文化资源向强大旅游吸引力的有效转化,亟须实施有效的资源推广、广泛的文化交流以及深入的价值化战略。
基于上述研究结论,本文提出以下政策启示:
第一,本文为在全国范围内推广文化消费试点和文旅消费示范区,提供了重要的理论支撑。研究表明,文化消费试点不仅能够促进城市旅游经济,也有助于文旅融合在资源、规模与水平等方面实现持续健康发展。文化给了旅游另一种可能,旅游则为文化提供了新的载体。特别地,在2018年文化和旅游部整合之后,总结文化消费试点城市的经验模式具有重要的现实意义,进而在全国范围内推广国家级/省级文化和旅游消费试点、建设文化和旅游消费示范区。当前应重点推进文化与旅游在资源共享、产品创新、业态整合、人才培养等领域的深度融合,充分发挥其对促进居民消费、优化供给结构、弘扬优秀文化、驱动经济增长的复合效应。对内,积极响应“实施提振消费专项行动”的政策部署,建议通过发放消费券、开展消费满减与积分兑换等方式增强居民消费意愿与能力,并鼓励各地探索区域一体化的文旅惠民举措。对外,应将消费试点工作与“深化国际消费中心城市建设”战略有机衔接,推动高能级消费平台、标志性文旅消费场景和国际化消费载体的协同建设,打造具有全球影响力的文化旅游消费高地。
第二,文化消费试点政策应该充分考虑群体、区域、时空的协调性,力求释放多样化、差异化消费潜力。具体而言,政策需促进居民与游客的资源共享、城市与乡村的协调发展、文化空间与旅游功能的匹配、旅游旺季与淡季的调和。消费端应构建全域宣传体系,文化消费试点的宣传范围应拓展至全市、全省乃至全国。一方面,文旅融合的发展需要政府统一引导、统筹规划,尤其是文旅消费数字平台应该与智慧城市管理、智慧旅游平台等进行协同联动、数据共享,增强文旅服务的感知力与响应力;另一方面,应分时、分区进行文旅活动,比如在旅游淡季增强文旅优惠、宣传引流等,推动城乡区域、淡旺季间的协同发展。供给端应以“优质供给扩容”为导向,将文旅消费嵌入多元场景,打造“人工智能+文旅消费”“银发经济”“沉浸式体验”等多元消费业态,满足主客的多层次和多样化需求,从而构建主客共享的公共文化空间。具体路径包括:推进公共文化空间与文化资源的多元功能实现,完善夜间文旅服务体系,开发夜游、剧本杀和微演艺等新兴产品;推动数字技术与传统文化有机融合,并将其纳入地方文旅消费政策体系统筹管理。
第三,政策制定需考虑不同城市的发展差异,留出合理的弹性发挥空间。首先,应优先考虑城市区位因素。对中东部地区的城市,关注其文旅消费升级水平和文旅深度融合水平等;而对于西部地区,则聚焦其文旅融合基础设施建设、公共服务水平的提升,从而推动文旅融合的稳步发展。其次,注重文化资源禀赋高的城市。鼓励引导相关城市以创建消费试点城市为契机,充分整合文化资源,创新文化载体形式,打造具有地方特色的文旅品牌。加强文旅产业与地方传统产业体系的深度融合,促进城市产业转型升级与产业结构优化。最后,结合城市的网络声誉、热度进行综合研判。城市可借助数字经济和新一代网络营销方式,结合典型案例和成功经验,用好用活传统媒体和新媒体,积极传播城市文化特质、城市形象和节事活动等符号,以此弥合大众的美好愿景并激活文旅融合需求,从而带来超越传统地理经济的空间活力。此外,亟须意识到网红效应的“昙花一现”和双面性,建立健全内容筛选机制与舆情监测体系,提升城市文旅宣传的可持续性与公信力。
需说明的是,本研究仍存在一定的局限性,未来可从两方面进行深化:第一,拓展统计数据的时间跨度。未来研究可通过构建更长时间序列的数据集,系统考察文旅融合政策的持续效应与长期影响机制,进而揭示政策实施的时滞效应、累积效应及其在不同发展阶段的差异性表现。同时,进一步细化数据分类,尝试按照不同行业、地理区域、消费群体等维度进行划分,以提升政策效果评估的精准性与情境适应性。第二,深入挖掘文旅融合发展的多维度属性。文旅融合作为一个涵盖文化、旅游、社会与经济等多重维度的复杂过程,其内在特性尚未被充分揭示。未来研究可从社会文化影响、游客满意度、经济效益等多维度展开系统性分析,以全面评估文旅融合发展的综合效应及其对区域经济和社会发展的深远影响。
原文刊载于《消费经济》2025年第5期,参考文献略
相关文章
发表评论
评论列表
- 这篇文章还没有收到评论,赶紧来抢沙发吧~