基于游记攻略的长江经济带旅游流网络结构特征及影响因素
引文格式:刘大均,陈君子,陈云. 基于游记攻略的长江经济带旅游流网络结构特征及影响因素[J]. 西华师范大学学报(自然科学版),2025,46(1):72-78.

作者简介:刘大均,男,博士,副教授,主要从事旅游地理研究。

摘要:宏观把握长江经济带旅游流的网络结构,对于长江经济带旅游空间格局优化、旅游业高质量发展具有重要意义。基于游记攻略大数据挖掘,运用复杂网络模型、地理探测器等方法,分析长江经济带旅游流的网络结构特征以及影响因素。研究表明:长江经济带旅游流网络具有明显幂律分布规律,多极化层级结构突出,上海市是核心节点,成都市、南京市、武汉市、重庆市、长沙市、杭州市、昆明市、苏州市、南昌市、合肥市是次核心节点;长江经济带旅游流网络不均衡性强,小世界性特征显著,形成了长三角、长江中游、川渝、云南、贵州5个社团。旅游关注度、旅游产业基础、旅游资源禀赋是长江经济带旅游流网络结构的主要影响因素,其中旅游关注度是首要因素。最后,提出强化核心节点辐射带动、着力完善区域合作机制、加大旅游宣传营销力度等建议。
关键词:旅游;旅游流;大数据;长江经济带

长江经济带作为国土开发与经济布局“T”字型构架中的一级发展轴线,是国家发展的战略性和导向性重点区域[1]。2016年9月,中共中央、国务院正式印发《长江经济带发展规划纲要》,标志着长江经济带发展上升为国家战略。旅游业是长江经济带战略支撑作用发挥的关键动能[2],也是长江经济带高质量发展的重要路径。旅游流指游客的流动,是旅游业发展所依赖的客观前提,也是现代大众旅游现象最外部化的特征[3]。目前,学术界多基于年鉴问卷[4-5]、游记攻略[6]、百度指数[7]、微博签到[8]等数据的挖掘,围绕旅游流的流量模拟及预测[9]、空间集散及时空格局[10-11]、网络结构[12-13]、影响因素[14-15]、空间效应[16-17]等方面进行研究,研究尺度侧重于城市群[18]、省域[19-20]、地市域[21-22],取得了较为丰富的研究成果。
长江经济带既有世界大河流域经济带的共性,又有自身独特的地理条件、社会经济和历史文化特征[23]。长江经济带旅游资源极为丰富,已成为重要的旅游带[24]。近年来,不少学者开始关注长江经济带的旅游流研究,对其内部的部分城市群(如,长江中游城市群[18]、长三角城市群[25])、省份(如,湖北省[26]、湖南省[27])、地市(如,南京市[22]、成都市[28])的旅游流进行了深入研究。然而,缺乏对长江经济带旅游流的宏观把握,也鲜有对其内部结构、异质性进行深入解析与对比研究。长江经济带具有非均衡的发展特征[29],科学把握长江经济带旅游流的网络结构、识别其内部差异,将直接影响长江经济带旅游发展政策的制定。长江经济带作为特殊类型的地理单元,也是极其重要战略地位的区域,其旅游流网络结构有何特性?内部差异如何?这些问题值得探讨。鉴于此,基于游记攻略数据的挖掘,对长江经济带旅游流的网络结构进行剖析,为长江经济带旅游空间格局的优化、旅游业高质量发展提供科学依据。
1数据来源与研究方法
1.1数据来源
有效、准确的数据获取是决定旅游流研究科学性的关键问题之一[30]。已有研究表明,挖掘游记攻略中蕴含的游客流动数据能够达到问卷调查的效果,获取到的数据具有较强的准确性和科学性[31]。携程旅行网(https://www.ctrip.com)和去哪儿网(https://www.qunar.com)是重要的旅游服务平台,游客在该平台分享了大量游记攻略。为了刻画常态情境下旅游流网络结构,并考虑到数据的及时性与可获取性,本研究以2019年游客分享的游记攻略数据为基础,利用火车头软件抓取游客分享在携程旅行网和去哪儿网平台上的游记攻略,共采集到32 721篇。然后,对采集到的游记攻略进行清洗,剔除旅游广告、无明确行程等游记攻略,最终得到10 476篇有效游记攻略。对各省市的有效游记攻略篇数与2019年旅行社国内旅游接待人次进行Pearson相关性分析,结果显示相关性系数为0.7,显著性水平为0.018,说明有效游记攻略样本数据具有一定代表性。最后,从有效游记攻略中提取游客的旅游行程及流动轨迹,统计游客在长江经济带内部不同地区之间的流动频次,构建长江经济带旅游流数据库。此外,常住人口、人均地区生产总值、5A级旅游景区、五星级酒店等数据来源于《中国城市统计年鉴2020》、文化和旅游部官方网站(https://www.mct.gov.cn/)。
1.2研究方法
1.2.1度
度是描述网络节点结构的基本参数,节点的度可以反映该节点在网络中的重要性程度[32]。计算公式为:

式中,Di为节点i的度,n为网络节点数(128个地区),aij为节点i与节点j是否存在旅游流联系,有则赋值为1,无则赋值为0。
1.2.2网络密度
旅游流网络密度是指网络中实际存在的联系数与理论上可能存在的联系数之比,可以反映旅游流网络的紧密程度[22]。计算公式为:

式中,D为旅游流网络密度,n为网络节点数,m为实际存在的旅游流联系数。
1.2.3平均路径长度
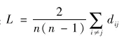
平均路径长度即网络中任意两个节点之间最短路径的平均值,描述了网络中节点的分离程度[33]。计算公式为:

式中,L为平均路径长度,n为网络节点数,dij为节点i到节点j最短路径的边数。
1.2.4集聚系数
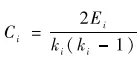
集聚系数可以反映网络的稠密程度,衡量网络节点局部聚类情况[32-33]。节点i的集聚系数Ci计算公式为:

式中,ki为节点i的邻接节点数,Ei为节点i的邻接节点间实际存在的边数。
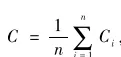
所有节点集聚系数的平均值为整体网络的聚类系数C,即:

式中,C为整体网络的集聚系数,n为网络节点数。
1.2.5地理探测器
地理探测器是探测空间分异以及揭示背后驱动因子的统计学方法,其中因子探测q值可以反映影响因素的影响程度[34]。计算公式为:

式中,h为某一次级地区,N和Nh分别为整个地区和某一次级地区节点的度值,σ2和σ2h分别为整个地区和某一次级地区度值的方差。q值的变化位于0~1,q值越大说明该因素的影响程度越强,反之则越弱。

2网络结构
以存在游客流动关系的128个地区为网络节点,以地区间的游客流动频次为边权重,构建长江经济带加权无向旅游流网络。运用Gephi软件,对长江经济带旅游流网络进行可视化表达(图1)。

2.1节点结构
2.1.1中心性分析
运用Gephi软件对长江经济带旅游流网络节点的度值进行计算,分析网络节点的中心性。上海市的度值为64,与长江经济带50%的地区存在直接的旅游流联系,在旅游流网络中占绝对优势地位。成都市、南京市、武汉市、重庆市、长沙市、杭州市等地区的度值较高,在旅游流网络中占据重要地位。从度值的位序-规模分布来看,具有较为明显的“长尾分布”特点。幂函数为y=247.74x-0.87,R2为0.79,符合幂律分布规律,说明大多数地区的度值较低,只有少数地区的度值较高,长江经济带旅游流网络被少数地区控制,旅游流多围绕上海市、成都市、杭州市、南京市、武汉市、长沙市等少数地区呈放射状格局展开。
2.1.2节点角色分析
为便于揭示各地区在长江经济带旅游流网络中的角色地位,采用自然间断点分级法(Jenks)对度值大小进行层级划分,将各地区划分为4个层级(表1)。长江经济带旅游流网络形成了明显的以上海市为核心,以成都市、南京市、武汉市、重庆市等为次核心的多极化层级结构。上海市不仅是长江经济带重要的旅游客源市场、目的地,还是旅游流网络的核心节点。成都市、南京市、武汉市、重庆市、长沙市等地区是长江经济带旅游流网络的次核心节点、区域性集散中心,这些地区大多是所在区域的政治、经济和文化中心,具有较大的旅游消费市场、较为丰富的旅游资源以及较强的游客中转能力。黄山市、丽江市、上饶市、大理州、湘西州等地区是长江经济带旅游流网络的重要节点,这些地区旅游资源禀赋好,对游客具有较强的吸引力,是重要的旅游目的地。随州市、孝感市、蚌埠市、资阳市、临沧市等地区在长江经济带旅游流网络中处于边缘位置,与其他地区的旅游流联系较为稀疏。

2.2整体网络结构
2.2.1网络密度分析
运用Gephi软件对长江经济带旅游流网络进行密度分析,测度旅游流网络的紧密程度。结果显示,长江经济带旅游流网络密度为0.10,接近0,表明旅游流整体网络不均衡性强,总体较为松散。长江经济带旅游流在大多数地区间的联系偏少,仅部分地区间联系较为密切。如图1所示,大理州-丽江市的游客流动频次最大,有284次;其次为成都市—甘孜州,有274次;再次为迪庆州—丽江市,有232次;此外,上海市—苏州市、成都市—阿坝州、贵阳市—安顺市、昆明市—大理州、上海市—杭州市、贵阳市—黔东南州等地区间的游客流动频次较大。在长江经济带存在的809对旅游流关系中,游客流动频次的均值、极差和标准差分别为10.39、283和27.58,有20.77%的关系对控制了长江经济带79.54%的游客流动频次,长江经济带的游客流动遵循“二八定律”,说明长江经济带旅游流的两极分化显著。
2.2.2小世界性分析
运用Gephi软件测度长江经济带旅游流网络的平均路径长度和集聚系数,揭示旅游流网络的小世界性。结果显示,旅游流网络的平均路径长度为2.03,任意2个节点之间平均只需要1.03个中转节点就可以建立旅游流联系,说明旅游流网络节点之间具有较高的便捷性和较小的分离程度。旅游流网络的集聚系数为0.59,说明依托上海市、成都市、武汉市、重庆市、长沙市等强中转能力节点,长江经济带旅游流网络表现出较强的凝聚力。构建同等规模的随机网络,结果显示长江经济带旅游流网络的平均路径长度和集聚系数分别为2.16和0.11。与同等规模随机网络相比,长江经济带旅游流网络的集聚系数较大,平均路径长度相对较小,表明长江经济带旅游流网络的小世界性特征显著。尽管长江经济带旅游流网络总体较为松散,但任意2个节点仍可通过强中转能力节点建立短拓扑距离联系。
2.2.3社团结构分析
社团及子群结构分析可以找出旅游流网络结构是由哪些小结构组成[15]。运用Gephi软件的模块化工具,对长江经济带旅游流网络的社团结构进行分析,并对其社团构成进行可视化表达(图2)。选择标准解析度1时,模块度值为0.58,社团识别效果较好。如图2所示,长江经济带旅游流的社团结构明显,存在5个社团。5个社团的地域组成表现出较强的空间依赖性,社团发育程度存在较大的地带差异。长三角社团主要由上海市、杭州市、南京市、合肥市、苏州市、黄山市等地区组成,呈多核心结构,层级特征显著,地区间旅游流联系紧密,网络发育较好。长江中游社团主要由武汉市、长沙市、南昌市、宜昌市、湘西州、九江市等地区组成,呈以武汉市、长沙市、南昌市为主导的多核心结构,整体联系较为松散。川渝社团主要由重庆市、成都市、绵阳市、阿坝州、乐山市等地区组成,呈双核驱动的发展格局,重庆市、成都市占据核心主导地位。云南社团由昆明市、大理州、丽江市、迪庆州、西双版纳州等地区组成,昆明市占据主导地位,具有较明显的层级特征。贵州社团的网络规模相对较小,受经济社会发展水平、旅游发展历程、交通条件及地理区位等因素的影响,呈相对均势的发展格局。


3影响因素
3.1变量选取
节点是旅游流网络形成与发展的关键,节点的影响力以及与其他节点的旅游流互动关系一定程度上反映了旅游流网络结构的整体水平。在参考借鉴学术界相关研究成果的基础上[14-15,25],并结合数据的可获得性和科学性,本研究选取可以反映各地区在旅游流网络中重要性程度的度为被解释变量,从旅游资源禀赋、旅游产业基础、旅游关注度、交通能力、经济发展水平、人口规模等方面探讨影响因素。旅游资源禀赋是旅游者是否选择一个旅游地的重要标准[35],是旅游流网络形成与发展的物质载体,用5A级旅游景区数量来表征。旅游产业基础是游客是否选择旅游地一个重要依据[36],用五星级酒店数量来表征。旅游关注度在旅游流网络的形成与发展中起到关键作用,百度指数可以反映游客对旅游地的关注程度[37],用网民对“地区+旅游”的百度指数2019年均值来表征。交通是旅游业得以发展的前提,也是游客流动的重要载体,用客运量表征交通能力。较好的经济基础是游客出游以及旅游地建设与发展基础,也是影响游客流量及流向的重要因素,用人均地区生产总值表征经济水平。人口规模反映了区域消费能力,居民出游市场随距离增加而衰减[38],反映了本地旅游消费市场规模,用常住人口来表征人口规模。
3.2影响因素分析
利用地理探测器的“因子探测”模块测度各影响因素的作用程度。如表2所示,影响因素的影响程度排序依次为:旅游关注度(0.61)>旅游产业基础(0.56)>旅游资源禀赋(0.46)>经济水平(0.33)>交通能力(0.29)>人口规模(0.23),说明旅游关注度、旅游产业基础以及旅游资源禀赋是影响长江经济带旅游流网络结构的主要因素。旅游关注度的影响力最强,说明游客对各地区的旅游关注度是影响长江经济带旅游流网络结构的首要因素。值得一提的是,尽管人口规模单因素对旅游流网络结构的影响力较弱,q值为0.23,P值为0.43,但进一步利用“交互探测”模块分析发现,人口规模与旅游关注度、旅游产业基础、旅游资源禀赋等因素通过交互作用后,对长江经济带旅游流网络结构的影响力更为显著,交互影响力均在0.6以上,产生了明显的双因子增强效应,说明人口规模仍然是旅游流网络结构不可忽视的影响因素。


4结论与建议
4.1结论
1)长江经济带旅游流网络具有明显的幂律分布规律,多极化层级结构较为突出,上海市是长江经济带旅游流网络的核心节点,成都市、南京市、武汉市、重庆市、长沙市、杭州市、昆明市、苏州市、南昌市、合肥市是长江经济带旅游流网络的次核心节点。
2)长江经济带旅游流网络不均衡性强,小世界性特征显著,形成了长三角、长江中游、川渝、云南、贵州5个社团。社团的构成具有较强的空间依赖性和地带差异性,呈多核心、双核驱动、单核心、相对均势发展模式并存的格局,其中长三角社团呈多核心结构,网络发育较为成熟。
3)旅游关注度、旅游产业基础以及旅游资源禀赋是影响长江经济带旅游流网络结构的主要因素。旅游关注度的影响力最强,是首要影响因素,说明加强旅游宣传营销力度,提高旅游目的地的知名度,增强旅游者的关注度与旅游前往意愿,是优化长江经济带旅游流网络结构的重要手段。
4.2建议
1)强化核心节点辐射带动。增强核心节点的旅游流集散能力,提升旅游消费能级与国际化水平。加强核心节点间的旅游互动,实现旅游交通与服务无缝接驳。推动核心节点与周边地区交通网络建设,实现旅游公共服务对接。深化核心节点对周边地区旅游发展的带动,周边地区树立旅游错位发展理念,突出旅游差异化和特色,开发互补性强的旅游产品和服务,建立针对性营销及服务体系。
2)着力完善区域合作机制。以推动长江经济带高质量发展为契机,健全长江经济带旅游协同发展机制,突破市场壁垒限制。强化川渝、云南、贵州3大旅游流社团的互动与协同能力,深化重庆市、成都市、昆明市、贵阳市的联动发展,加强与长三角、长江中游旅游流社团的合作。推动跨社团精品旅游线路的打造,支持社团间边界地区旅游交通及基础设施的完善、旅游服务的无缝接驳。
3)加大旅游宣传营销力度。持续提升旅游发展品质,增强旅游吸引力。充分利用抖音、快手、bilibili等平台,构建多元旅游营销方式,强化旅游地的宣传推广能力。举办长江经济带旅游发展大会、旅游博览会等,设立旅游发展资金,提升长江经济带的旅游发展活力。
4.3讨论
本研究对长江经济带旅游流网络结构进行宏观分析,并进一步揭示其内部发展差异,一定程度上弥补了现有研究对长江经济带旅游流关注不足的缺口。研究发现,长江经济带内部旅游流网络发展模式的地带差异明显,呈东部发育程度较好、中部次之、西部相对较差的梯度分异格局,这与旅游资源、旅游交通可达性的空间格局呼应[39],反映出长江经济带旅游空间结构地带差异的普遍性规律。鉴于数据的可获得性,本研究从6个方面选取变量分析影响因素,具有一定的局限,未来研究可以进一步丰富影响因素的指标体系,揭示长江经济带旅游流网络结构的影响机理。

参考文献
[1]陆大道.建设经济带是经济发展布局的最佳选择:长江经济带经济发展的巨大潜力[J].地理科学,2014,34(7):769-772.
[2]王兆峰,刘庆芳.长江经济带旅游生态效率时空演变及其影响因素[J].长江流域资源与环境,2019,28(10):2289-2298.
[3]谢彦君.基础旅游学[M].北京:中国旅游出版社,2011.
[4]虞虎,陈田,王开泳,等.中国农村居民省际旅游流网络空间结构特征与演化趋势[J].干旱区资源与环境,2015,29(6):189-195.
[5]李磊,陆林,孙小龙,等.高铁沿线旅游流网络结构及其互动关系研究:以合福高铁沿线地区为例[J].人文地理,2020,35(1):132-140.
[6]周李,吴殿廷,虞虎,等.基于网络游记的城市旅游流网络结构演化研究:以北京市为例[J].地理科学,2020,40(2):298-307.
[7]杜家禛,徐菁,靳诚.基于百度指数的长江三角洲虚拟旅游流流动特征和影响因素分析[J].长江流域资源与环境,2021,30(2):290-301.
[8]陈晓艳,张子昂,胡小海,等.微博签到大数据中旅游景区客流波动特征分析:以南京市钟山风景名胜区为例[J].经济地理,2018,38(9):206-214.
[9]GHOSH S. Tourism infrastructure:forecasting of international tourist flows to India[J]. ICFAI Journal of Infrastructure,2008,6(3):34-41.
[10]王永明,马耀峰,王美霞.北京入境旅游流空间扩散特征及路径[J].经济地理,2011,31(6):1019-1024.
[11]马斌斌,陈兴鹏,陈芳婷.基于社交大数据的敦煌旅游流多尺度时空分异特征[J].经济地理,2021,41(3):202-212.
[12]SHIH H Y. Network characteristics of drive tourism destinations:an application of network analysis in tourism[J]. Tourism Management,2006,27(5):1029-1039.
[13]程雪兰,方叶林,苏雪晴,等.中国东部沿海5大城市群旅游流网络结构空间分布特征研究[J].地理科学进展,2021,40(6):948-957.
[14]王永明,卢言美.大洲尺度下旅游流空间网络结构及其影响因素[J].湖南师范大学自然科学学报,2021,44(6):10-17.
[15]刘法建,张捷,陈冬冬.中国入境旅游流网络结构特征及动因研究[J].地理学报,2010,65(8):1013-1024.
[16]纪小美,陈金华,付业勤.中国入境旅游流的收敛与空间溢出效应分析[J].旅游科学,2015,29(4):47-60.
[17]王永明,马耀峰,王美霞.上海入境旅游流对长江流域各省区空间场效应研究[J].经济地理,2010,30(5):854-858.
[18]刘大均.长江中游城市群旅游流空间格局及发展模式[J].经济地理,2018,38(5):217-223.
[19]朱冬芳,虞虎,刘青青,等.入藏旅游流网络结构特征与组织模式:基于团队游和自助游视角的比较分析[J].地理科学进展,2021,40(5):812-824.
[20]韩冬,黄丽华.基于旅游数字足迹的旅游流网络结构研究:以内蒙古自治区为例[J].干旱区资源与环境,2018,32(3):192-197.
[21]李亚娟,曾红春,李超然,等.山地民族地区旅游流网络结构及流动方式研究:以恩施州为例[J].长江流域资源与环境,2019,28(7):1612-1622.
[22]杨兴柱,顾朝林,王群.南京市旅游流网络结构构建[J].地理学报,2007,62(6):609-620.
[23]段学军,邹辉,陈维肖,等.长江经济带形成演变的地理基础[J].地理科学进展,2019,38(8):1217-1226.
[24]贾文通,黄震方,刘俊,等.高铁对区域旅游“时空压缩”效应的测度与分析:以长江经济带为例[J].地理研究,2021,40(6):1785-1802.
[25]徐敏,黄震方,曹芳东,等.基于在线预订数据分析的旅游流网络结构特征与影响因素:以长三角地区为例[J].经济地理,2018,38(6):193-202.
[26]付琼鸽,刘大均,胡静,等.湖北省旅游流网络结构的特征与优化[J].经济地理,2015,35(3):191-196.
[27]周慧玲,许春晓.基于游记行程的湖南旅游流空间网络结构特征[J].经济地理,2016,36(10):201-206.
[28]刘大均,简代飞,杨丹,等.基于网络游记的成都市旅游流空间特征及影响因素分析[J].西华师范大学学报(自然科学版),2020,41(1):92-97.
[29]邹琳,曾刚,曹贤忠,等.长江经济带的经济联系网络空间特征分析[J].经济地理,2015,35(6):1-7.
[30]刘法建,张捷,章锦河,等.旅游流空间数据获取的基本方法分析:国内外研究综述及比较[J].旅游学刊,2012,27(6):101-109.
[31]彭红松,陆林,路幸福,等.基于旅游客流的跨界旅游区空间网络结构优化:以泸沽湖为例[J].地理科学进展,2014,33(3):422-431.
[32]武文杰,董正斌,张文忠,等.中国城市空间关联网络结构的时空演变[J].地理学报,2011,66(4):435-445.
[33]吴康,方创琳,赵渺希.中国城市网络的空间组织及其复杂性结构特征[J].地理研究,2015,34(4):711-728.
[34]王劲峰,徐成东.地理探测器:原理与展望[J].地理学报,2017,72(1):116-134.
[35]汪德根,陈田,陆林,等.区域旅游流空间结构的高铁效应及机理:以中国京沪高铁为例[J].地理学报,2015,70(2):214-233.
[36]汪德根,牛玉,王莉.高铁对旅游者目的地选择的影响:以京沪高铁为例[J].地理研究,2015,34(9):1770-1780.
[37]刘少湃,田纪鹏,陆林.上海迪士尼在建景区客源市场空间结构预测:旅游引力模型的修正及应用[J].地理学报,2016,71(2):304-321.
[38]吴必虎,唐俊雅,黄安民,等.中国城市居民旅游目的地选择行为研究[J].地理学报,1997,52(2):97-103.
[39]田野,罗静,崔家兴,等.长江经济带旅游资源空间结构及其交通可进入性评价[J].经济地理,2019,39(11):203-213.
相关文章
发表评论
评论列表
- 这篇文章还没有收到评论,赶紧来抢沙发吧~